加入購物車成功!
一、概述
KHB型不銹鋼食品生化流程泵和KHB中高溫型耐腐蝕離心泵是本公司消化引進瑞典阿拉伐xj****技術、獨立開發具有自主知識產權的產品,在國內具有******水平。
KHB型泵采用了副葉輪動力密封,配合機械密封,特別適用于輸送含有一定濃度的固體顆粒的懸浮液,由于副葉輪的作用,能降低密封腔固體顆粒的濃度,改善了機械密封的工作環境,從而提高了機械,密封的使用壽命。
二、應用范圍
KHB型泵特別適用于輸送含有一定量固定顆粒的生物制品懸浮液體介質,或強腐蝕性液體介質。
主要用于:
生物質能源裝置用泵,例如:淀粉、淀粉糖、谷氨酸、賴氨酸、檸檬酸、酒精(乙醇、丙氨醇)等部門用泵石油冶煉,石油輸送裝置,石油深加工裝置中用泵。
供水和海水淡化系統用泵。
污水處理,環境保護系統用泵。
煤化工用泵。
三、使用參數
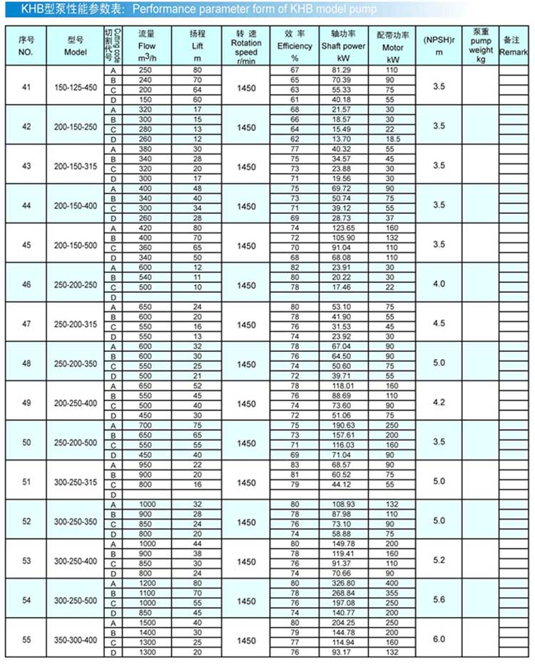
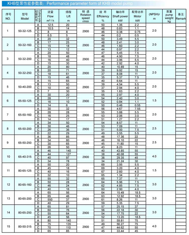
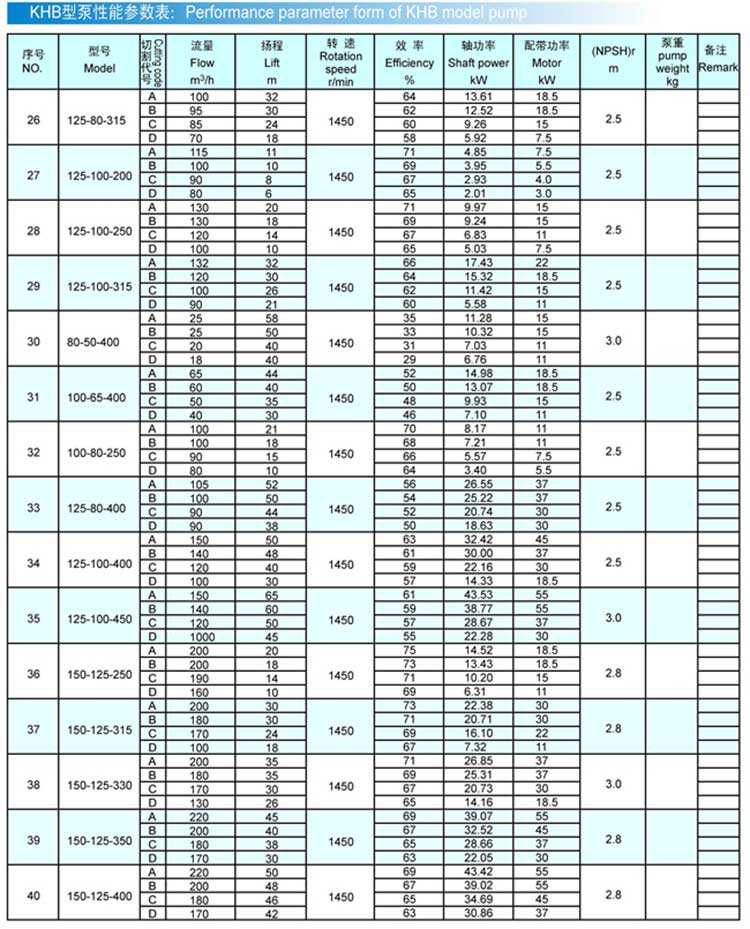
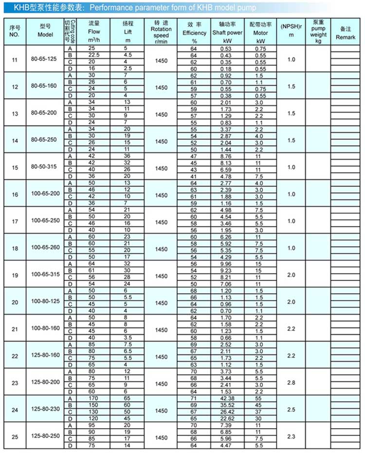
流量范圍:12.5~1000m3/h 揚程范圍:8~260m
工作壓力:0.02~2.5MPa 輸送介質溫度:CHB型為-1.-0℃~120℃ KHB型為-40℃~260℃
四、結構特征
KHB型泵是單級單吸懸臂式離心泵,水平軸向吸入中心垂直向上排出。采用后開門結構形式,其特點是檢修方便,在對泵解體檢修時,不必拆泵的吸入和排出管路法蘭,即可更換泵的葉輪、密封環、機械密封、軸承等零部件。
KHB型密封腔外設水冷腔,軸承懸架部件也沒有可選擇的水冷夾套,因此特別適用于輸送中高溫(-40℃-260℃)液體介質。
軸承懸架部件采用兩套背靠背的向心推力球軸承來平衡殘余軸向力,稀油油池潤滑。
泵的軸承向力平衡方式有兩種,一種是靠副葉片,另一種是靠平衡孔,由于副葉輪的作用,既可以降低密封腔的壓力,又可以降低密封固體顆粒的濃度,提高了機械密封的使用壽命。
泵的水力設計xj****,有效節能,大流量泵又采用雙渦室設計平衡了徑向力,使泵運行平穩,提高泵的運行可靠性。
泵軸的水力設計符合AP1610剛性軸的設計要求
泵的轉向:從電機端看來泵為順時針雙向旋轉。
五、輸送介質
各種濃度的硫酸、******、鹽堿和磷酸等無機酸和有機酸,適用的零件材料:S-8、A-7、D-1...
各種濃度下的氫氧化鈉和碳酸鈉等堿性溶液,適用于零件材料:A-8、D-1...
各種鹽溶液,適用的零件材料:S-5、S-6、S-9、C-6...
具有一定腐蝕性的污水,適用于零件材料:I-2、S-1、S-3、C-4...
含有一定固體顆粒的生物化工制品懸浮液體物料介質,適用的零件材料:S-6、C-8、S-8、A-7...
